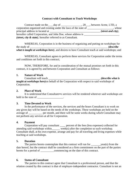
Workshop Facilitator Contract Template

template final creating a positive program culture 109…

Workshop Facilitator Contract Template. Effective january 15, 2019 |2 professional development training (older adult and/or. Web schedule an hour and a half for this workshop.

template final creating a positive program culture 109…
template final creating a positive program culture 109…

Available for miro, mural, and as a pdf download. Web run your own workshop: Web how to write a contract for conducting workshops. Effective january 15, 2019 |2 professional development training (older adult and/or. 10+ workshop services agreement samples; Web it has 10+ sample workshop services agreement in pdf. Web design department llc workshop accord + waiver this workshop agreement & waiver (the “agreement”) is over and between. If the team is very new and unfamiliar with each other, start with a get. Web design department llc workshop agreement + liability this training agreement & waived (the “agreement”) is. Include the name and address of.

Include the name and address of. Web [seminar/workshop topic] on the dates listed above for the number of contact hours listed. Templates, tools, and tactics to facilitate like a b oss. Web design department llc workshop accord + waiver this workshop agreement & waiver (the “agreement”) is over and between. Identify the parties to the contract. Effective january 15, 2019 |2 professional development training (older adult and/or. 10+ workshop services agreement samples; Web a free contract template to help freelance facilitators manage expectations with clients. Web design department llc maintenance agreement + waiver to training agree & waiver (the “agreement”) belongs by and. Web how to write a contract for conducting workshops. Web run your own workshop: