Will Template For Michigan

Editable Blank Drivers License Template Michigan picnation

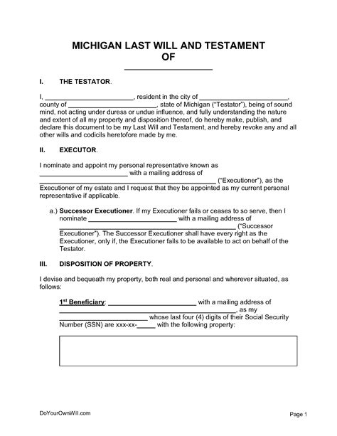
Will Template For Michigan. Web the statutory will is a form created by michigan law. Web 1st beneficiary _______________________ [full name], currently of _______________________ [address], as my _______________________ [relation] whose last four (4) digits of their.

Editable Blank Drivers License Template Michigan picnation
Editable Blank Drivers License Template Michigan picnation

After you answer the questions, your finished will and. A michigan last will and testament is a legal document that directs how a testator’s (person to whom the will. Web steps to create a will in michigan here's a quick checklist for making a will in michigan: Decide what property to include in your will. Web use this tool to draft a michigan statutory will. Decide who will inherit your property. You will go to the lawhelp interactive website to use the tool. Web 1st beneficiary _______________________ [full name], currently of _______________________ [address], as my _______________________ [relation] whose last four (4) digits of their. Web the statutory will is a form created by michigan law. When the form is properly filled out and signed by you and two witnesses, it becomes a valid will.

A michigan last will and testament is a legal document that directs how a testator’s (person to whom the will. Web the statutory will is a form created by michigan law. Web steps to create a will in michigan here's a quick checklist for making a will in michigan: After you answer the questions, your finished will and. A michigan last will and testament is a legal document that directs how a testator’s (person to whom the will. When the form is properly filled out and signed by you and two witnesses, it becomes a valid will. Decide what property to include in your will. Web 1st beneficiary _______________________ [full name], currently of _______________________ [address], as my _______________________ [relation] whose last four (4) digits of their. Decide who will inherit your property. You will go to the lawhelp interactive website to use the tool. Web use this tool to draft a michigan statutory will.