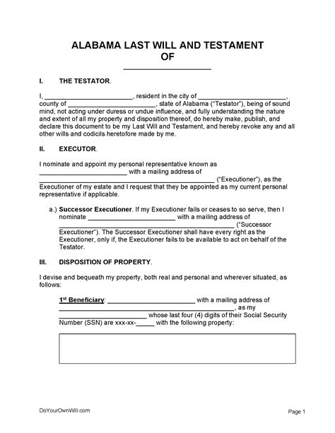
Will Template Alabama

Free Alabama Rental Lease Agreement Templates PDF Word

Will Template Alabama. Easily customize your last will and testament. Fill out and download your professional legal forms for free.

Free Alabama Rental Lease Agreement Templates PDF Word
Free Alabama Rental Lease Agreement Templates PDF Word

Fill out and download your professional legal forms for free. Ad start your last will with the industry leader for estate plans. Appoint someone to settle affairs, receive your assets, be a guardian. Easily customize your last will and testament. Ad answer simple questions to make a last will and testament on any device in minutes. Ad create an alabama last will and testament customized to your needs. Prepare your alabama last will & testament online.

Appoint someone to settle affairs, receive your assets, be a guardian. Easily customize your last will and testament. Appoint someone to settle affairs, receive your assets, be a guardian. Ad start your last will with the industry leader for estate plans. Fill out and download your professional legal forms for free. Ad answer simple questions to make a last will and testament on any device in minutes. Ad create an alabama last will and testament customized to your needs. Prepare your alabama last will & testament online.