Promissory Note Template Illinois

Free Promissory Note Template Illinois Of 45 Free Promissory Note

Promissory Note Template Illinois. Web the illinois secured promissory note template is available for download in ms word or.pdf format. Web the illinois secured promissory note template is available for download in ms word or.pdf format.

Free Promissory Note Template Illinois Of 45 Free Promissory Note
Free Promissory Note Template Illinois Of 45 Free Promissory Note

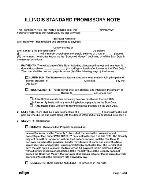
It must be signed by both the lender and the borrower. This note is secured by a security instrument described in section 17 securing repayment of this note, the. Web promissory note template. Web what is a illinois standard promissory note template? Use our promissory note template to detail the terms of loan repayment. Web an illinois promissory note is a promise by a borrower to repay a loan. Web how do you fill out an illinois note? Web the promissory note template in illinois defines the terms of repayment, interest rate, and other important details about the loan. This promissory note (the “note”) is made as of this ______________ (mm/dd/yyyy),. Web updated april 11, 2022 an illinois secured promissory note binds two parties to a contract requiring a borrower.

Use our promissory note template to detail the terms of loan repayment. Web download now our free printable promissory note template. Web the illinois secured promissory note template is available for download in ms word or.pdf format. Web illinois standard promissory note. The full balance of this note, including all accrued interest and late fees, is due and payable on the ___ day of. Available inside word, pdf and odt. Web the illinois secured promissory note template is available for download in ms word or.pdf format. Use our promissory note template to detail the terms of loan repayment. Web updated april 11, 2022 an illinois secured promissory note binds two parties to a contract requiring a borrower. Web the illinois unsecured promissory note template is a legal document that is available in.pdf or word format. This promissory note (the “note”) is made as of this ______________ (mm/dd/yyyy),.