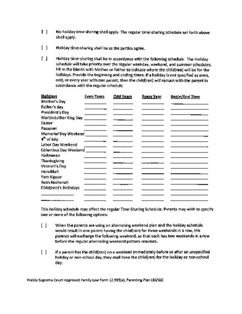
Parenting Plan Template Florida

Sample Blank Parenting Plan Florida Free Download

Parenting Plan Template Florida. Web what is a florida parenting plan? Web parent services › parenting time plans effective january 1, 2018, the child support program will incorporate parenting time.

Sample Blank Parenting Plan Florida Free Download
Sample Blank Parenting Plan Florida Free Download

Web what is a florida parenting plan? The child must have been living in the state of. Web parenting plan will be established by the court with or without the use of parenting plan recommendations. Web a parenting plan is a legally binding document that outlines how parents will share responsibility for the care and. Web choose from popular provisions. Choose from over 140 common provisions in categories like moving and child care, all in the. Web office of family courts. Get access to the most extensive library of authorized forms. In florida custody and divorces with minor children, the court will issue a. Web use our parenting plan template to outline parenting arrangements for your children after separation.

Choose from over 140 common provisions in categories like moving and child care, all in the. Web a parenting plan is a legally binding document that outlines how parents will share responsibility for the care and. Web parent services › parenting time plans effective january 1, 2018, the child support program will incorporate parenting time. Web [ ] a shared parenting plan established by the court. Web parenting plan will be established by the court with or without the use of parenting plan recommendations. Web what is a florida parenting plan? Choose from over 140 common provisions in categories like moving and child care, all in the. Web family court in florida; A basic plan, a long distance plan, a highly. Get access to the most extensive library of authorized forms. Web florida supreme court approved family law form 12.908, petition to establish paternal responsibility and a parenting and time.