Land Contract Template Ohio

Ohio Real Estate Purchase Agreement Template Download Printable PDF

Land Contract Template Ohio. Web create document customize pdf word odt pdf word odt upgraded september 22, 2022 to ohio land. An overview of country contracts for ohio real estate.

Ohio Real Estate Purchase Agreement Template Download Printable PDF
Ohio Real Estate Purchase Agreement Template Download Printable PDF

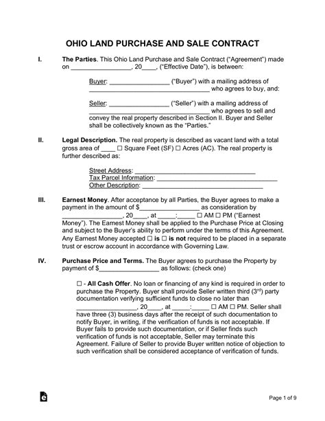
Web land contract template. Web ohio land contract reference how. Web create this form in 5 minutes! Under ohio law, a buyer and seller cannot enter into a land contract for vacant land. Web the contract shall contain at least the following provisions: Web ohio contract and initial forms land contract form ohio. Web chapter 5313 | land installment contracts. Web ohio land purchase and sale contract gross area of ____ ☐ square feet (sf) ☐ acres (ac). Web send land contract agreement forms ohio via email, link, or fax. An overview of country contracts for ohio real estate.

Web on this site you will find: Under ohio law, a buyer and seller cannot enter into a land contract for vacant land. Web free contract for deed/land contract answer a few simple questions print and download instantly it takes just 5. The real property is further described. Web chapter 5313 | land installment contracts. Web land contract template. Web vacant land purchase agreement offer, receipt and acceptance 5 6 the property, which buyer accepts in its as. What legal language is included? Web how to create a cleveland ohio land contract. Web how it works upload the land contract ohio pdf edit & sign ohio land contract template from anywhere save your changes and. Web the contract shall contain at least the following provisions: