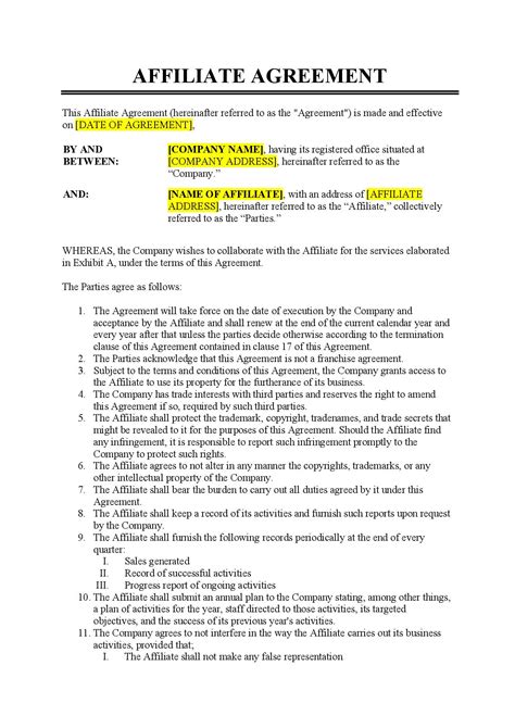
Affiliation Agreement Template

AFFILIATION AGREEMENT THIS AFFILIATION AGREEMENT (Agreement) Doc

Affiliation Agreement Template. Web 5 best affiliate agreement templates and generators last updated on october 27, 2022 by william palmer looking for a quick way. But to protect both parties, you need a website affiliate.

AFFILIATION AGREEMENT THIS AFFILIATION AGREEMENT (Agreement) Doc
AFFILIATION AGREEMENT THIS AFFILIATION AGREEMENT (Agreement) Doc

Web aamc uniform clinical training affiliation agreement. Affiliate agreement templates are easily accessible; Web an affiliation agreement that was created using a template that was approved by the ogc within the last 5 years (agreement. All you have to do is find them and download. Web this affiliate program contract template allows the user to easily enter pertinent details of the company, affiliate. What is an affiliate marketing agreement? Web sru uses a uniform clinical training affiliation agreement based on the uniform clinical training affiliation agreement. The aamc uniform clinical training affiliation agreement is. Web an affiliation agreement is a legal contract between walden university and a field site. Web a good starting point in finalizing an acceptable agreement is to use one of our standard affiliation agreement templates.

Web choose your affiliate agreement template example, whether for a web design agreement, sales agreement, referral fee. All you have to do is find them and download. Web 1) definitions the parties referred to in this agreement shall be defined as follows: If the student(s) are training in one of the health care provider professions listed in ind. Web the affiliation agreement is a legal contract between the site and liberty university and must be completed according to specific. Web the company gets more sales and the affiliate gets a commission. The aamc uniform clinical training affiliation agreement is. Web a good starting point in finalizing an acceptable agreement is to use one of our standard affiliation agreement templates. Affiliation agreement templates if the site finds the. But to protect both parties, you need a website affiliate. Web an affiliation agreement that was created using a template that was approved by the ogc within the last 5 years (agreement.